OK. Where did I put my notes? I rarely write from them, but an idea came to mind. Maybe if an AI was organizing my life I wouldn’t have to scramble to find those notes. – Found them. A yellow post-it note with some penciled scratches that are probably handwriting. I’ve been thinking about AI (Artificial Intelligence) for decades, and wondering whether it would ever reach the level it appears to be reaching. Things are already getting interesting.
Is there anything to do about it? Duh. The answer is always ‘yes’. Whether anything will be effective is less certain.
This is an interesting blog post to write because many people do not care about Artificial Intelligence, and can be forgiven for thinking Chat GPT is just another chatbot that resides in some little box on a web page. They may have already tuned out because a conversation about chatbots sounds dull. Besides, isn’t it just cheaper to buy a software package that can answer a narrow set of questions?
This is also an interesting blog post to write because I know several people who are professional experts with decades of experience in early AI, knowledge systems, and more recent developments. There’s nothing new for them here. They may comment anyway. I hope they have blogs. Read them.
Whew. That takes the pressure off. It might just be me talking to me.
Last week a friend and I were making fun of my Apple Newton. Think back to circa 1993 to a computer that fit in a (big suit) pocket, was handy for taking notes (terribly), and could connect up to other computers (slowly.) It failed, which is why it is easy to make fun of.
Insert requisite comparison to warehouse-sized mainframes from the 60s and mobile phones from today. I’m sure you’ve seen such elsewhere.
I’ve watched the progress because ‘What’s Next’ is no longer talking about next year or next decade. Change is happening faster than that.
Chat GPT is the proxy for a wide range of very sophisticated tools that do more than chat. These tools are doing more than chatting.
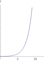
“…GPT-3.5 was getting ‘B’s at best (generally). GPT-4 is regularly getting scores high enough to get into college.” AI Gets Smarter Faster, PNTP
That change happened in only a few months. There’s reason to believe that the change is about to accelerate. Chat GPT-5 is rumored to be availability by the end of 2023.
That rate of change is the issue.
There’s a video I referenced before called “Humans Need Not Apply” from 8 years ago. The message I got from it was that the change in technology we are about to experience is similar to the change society experienced with the Industrial Revolution, but in less time. Lots of jobs will be lost. Lots of jobs may be generated, but different people may be involved. Pittsburgh went from a steel town to one for high-tech, but the steel workers I knew weren’t the ones getting the new jobs. Their stories are tough enough that I am going to not write about there here.
Another futurist that affects my thinking about this is Ray Kurweil. Check out his books and institution. A central aspect of the message I got from reading some of his conclusions is that, given his assumptions, the Digital Singularity is likely. A singularity can be a change that is so abrupt that the technology or society that came before can become useless afterwards. Many think he assumes too much.
For airplanes, the speed of sound is a singularity. The closer the airplane gets to the speed of sound the more drag there is. For a while, the speed of sound was considered a wall that couldn’t be breached. It was, of course, but to understand it required a new set of equations. It also required new designs for airplanes if they were going to survive flying faster. It also required courageous pilots.
Our society and our technology is flying faster.
Historically, society and technology rarely changed. We started with tribes, then tribes with fires. We grew to villages and farming. Then countries and armies. Now, we’re global – and I think we’re confused.
Change happened with regimes. When families could migrate, change happened with generations. Lifetime careers have changed to gigs, and uncertainty. How much faster can we change? #NotRhetorical
Computation was slow until the discovery (or invention) of math and writing. Scribes mattered. When machines could calculate computation accelerated. And they led to computers, which were enabled by chips, which have been abled by networking.
Computer software updates went from decades as they invented the technology, to years as humans adapted to new computer hardware, which sped up as tubes were replaced by chips. But, software was still slowed by humans. We can only type so fast.
Ah, but now, software can write software. Change has gone from something controlled by humans limited by biology to computers limited by technology. Human change is measured by physical things like calendars and clocks. Technological change can be measured in technical terms, including chip speeds. Instead of change happening in months, it might happen in minutes.
A critical achievement was for software to begin writing software. I recall attending a Microsoft stockholders meeting about 25 years ago. Bill Gates mentioned that maybe they should look at the code because they weren’t writing code line by line, but in blocks they connected up.
It has been a long time since humans fully understand the software we use.
Few, if any, understand specifically how Chat GPT, et al operate.
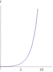
“Now, there is data supporting the idea that ChatGPT is the fastest adoption of any technology.
Instagram took 2.5 years to reach 100,000,000 users.
Tik Tok took nine months.
ChatGPT took two months.” – AI Adoption Accelerates, PNTP
Two years to nine months to two months to… It seems that Chat GPT-5’s unveiling by the end of the year could be the end of next week. Probably not, but how many would be surprised?
And here is where some of the public confusion come from. Chat GPT is not an Artificial Intelligence. It is incredibly sophisticated, but it is still a language tool. Others are only working with images. They aren’t AGI, where the G stands for General, as in being able to do it all.
Even then, it may not be conscious. But it might not matter. If it quacks like a duck,… If it can manage a transaction or a company better than humans, then it might be more than good enough.
Add Artificial Emotions and it may be easier to have an intelligent and engaging conversation with an AIM than with a human.
This is over a thousand words to get to what I am really thinking about.
If something like a Digital Singularity happened within the next twelve months, how would our world change? A year from now, how many early 2023 plans will seem silly in retrospect? Or, is this another Y2K moment when we adapt thanks for many un-named people working hard without much reward?
Many news items have been making analogies to The Matrix if something like a Digital Singularity happens. I enjoy the movie, but my preferred reference is the Hyperion series (remember books?). He took a few steps beyond the Singularity.
In the Matrix, the ‘robots’ reached a certain level then stayed there. In Dan Simmons’ books the technology continued to evolve. Early ones remained somewhat in contact with humans, but later ones didn’t even stay in contact with the early AIs. Society fragmented (in my terms): luddites (stay low-tech), normals (folks who just try to keep up), augmented humans (people who welcome tech into their bodies), and ultras (who succeed at becoming more machine than human.) And, AIs that: were the kind we are familiar with, semi-autonomous, fully-autonomous, ‘conscious’, and then beyond.
It isn’t us versus them or vice versa. It’s a mess with all the players at the same time.
I put quotes around conscious because we don’t know what it is, and the AIs might not either.
So, how’s that 30-year mortgage looking? Or my 40-year mortgage? What should I plan for?
Maybe it is not this year, or ever. But change isn’t going to stop, and it isn’t going to wait.
So, what do I do about that? You see, this blog is about my personal finances. Thank the SEC for various rules and regulations (as I understand them.) I am not a certified professional financial planner or advisor or whatever. I can, however, comment on me. That’s one reason this blog is self-centered. It is by design.
For the people in my science fiction novel, Firewatcher, they were further along the curve, and decided to fly away from Earth. Not an option, for me. (BTW The first draft of the sequel is complete.)
For those of us staying on the planet, the simplest thing to do may be to be ready for change. Knowing personal values, skills, and resources makes that easier to do because it is part of living a conscious life. Living by habit may be easier to disrupt. “I’ve always done it that way” doesn’t work well when ‘that way’ is no longer an available way.
Ironically, I might already be doing some of the right things, or at least working on them. Frugality, minimalism, community, self-reliance are things that are valuable in most of those scenarios. As one meme put it, someone with a woodstove and a flock of chickens might be the most attractive person around. Hmm. I don’t have either.
Ideally, I’d have a good small house on a nice plot of land with a nice garden. Simple.
Realistically, I plan to stay connected to people, help my community, live frugally, and not worry about it too much. Remember Y2K. Be calm and carry on because, while I think it is helpful to be aware and prepare, predicting the future has rarely been a reliable gamble.
Maybe I should put more effort into that greenhouse.
PS It is a long post, but you missed watching me having to undo several things that the software wanted to help me with. Kind of like an eager child. Is that where we are, for now?


